단순 연결리스트
시간 복잡도
O(n) 또는 O(1)
장점: 자투리 메모리 공간 사용
단점: 포인터 변수가 메모리를 차지함
배열에서 삽입연산을 하려면 다 뒤로 옮겨줘야함
삭제연산을 하려면 다 앞으로 옮겨줘야함
tail 포인터는 꼭 필요한 건 아님
C
typedef struct Node{
int data;
Node* next;
}Node;
노드 구조체 선언
int main(){
Node* head = NULL;
Node* tail = NULL;
for(int i = 0; i<5; i++){ //5칸짜리 연결리스트 만들기
Node* new_node = (Node*)mallloc(sizeof(Node)); //새 노드를 생성하고 메모리 할당
new_node->data = i; //데이터 할당
new_node->next = NULL; //새로 만들어진 노드가 맨 뒤이기 때문에 next가 NULL
if(head == NULL){ //지금 노드가 첫 노드면 헤드가 된다
head = new_node;
}
else{ //아니라면 tail 뒤에 붙이기
tail->next = new_node;
}
tail = new_node; //새로 만든 노드를 tail로
}
}
연결리스트 만들기
기능구현
포인터로 넘기면 head 반환 해서 덮어써야하고, 더블 포인터로 넘기면 값 자체를 바꿔줌
삽입
void addFirst(int data, Node** head, Node** tail){
Node* new_node = (Node*)malloc(sizeof(Node)); //메모리 할당
new_node->data = data;
//순서주의
new_node->next = head; //맨 앞이니까 head를 가리키기
*head = new_node; //헤드를 새 노드도 바꾸기
if(tail == NULL){ //이게 처음 만들어진 노드인 경우
*tail = new_node; //tail도 그걸 가리켜야함
}
}
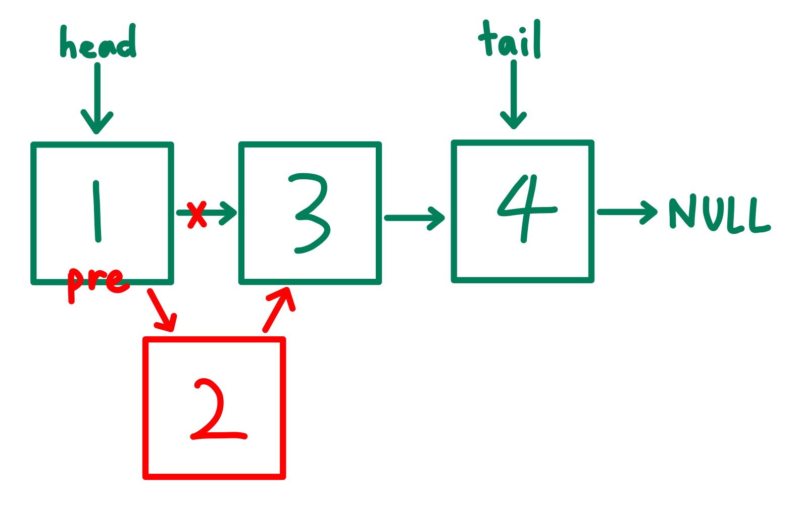
맨 앞에 삽입

void addNode(int data, Node* pre, Node** tail){
Node* new_node = (Node*)malloc(sizeof(Node)); //메모리 할당
new_node->data = data;
//순서주의
new_node->next = pre->next; //pre가 가리키던 애를 이제 새로 만든 노드가 가리키기
pre->next = new_node; //pre가 새 노드를 가리키기
}
pre뒤에 삽입
삭제
void deleteFirst(Node** head, Node** tail){
//순서주의
Node* tmp = *head; //메모리 비워야 하니 지우기 전 tmp에 저장해두기
*head = (*head)->next; //head 변경, 사실 이게 삭제임
free(tmp);
if(*head == NULL){ //마지막 남아있던 노드를 지운 경우
*tail = NULL; //tail도 비워야함
}
}
맨 앞을 삭제

void deleteNode(Node* pre, Node** tail){
//순서주의
Node* target = pre->next; //메모리 비워야 하니 지우기 전 삭제할 노드 저장
pre->next = target->next; //pre가 삭제할 노드 다음 노드 가리키기, 사실 이게 삭제임
if(target == *tail){ //tail을 지운 경우
*tail = pre; //pre가 새로운 tail
}
free(target); //메모리 비우기
}
pre뒤를 삭제
순회
Node* cur = head; //head부터 순회 시작
while(cur != NULL){
printf("data: %d\n", cur->data); //데이터 출력
cur = cur->next; //다음칸으로 옮겨가기
}
리스트 순회하며 출력하기
역순리스트 만들기

Node* reverse(Node* head){
Node *p, *q, *r;
p = head; //현 리스트
q = NULL; //역순이 될 노드
while(p != NULL){
//순서주의
r = q; //이미 역순이 된 리스트
q = p;
p = p->next;
q->next = r;
}
return q;
}
다항식
typedef struct Node{
int coef;
int expon;
Node *next;
}Node;
typedef struct HeadNode{
int size;
Node* head;
Node* tail;
}HeadNode;
HeadNode* create(){
HeadNode* plist = (HeadNode*)malloc(sizeof(HeadNode*));
plist->size = 0;
plist->head = NULL;
plist->tail = NULL;
return plist
}
void poly_add(HeadNode *plist1, HeadNode *plist2, HeadNode *plist3){
Node* a = plist1->head;
Node* b = plist2->head;
int sum;
while(a && b){
if(a->expon == b->expon){ //a차수 == b차수
sum = a->coef + b->coef;
if(sum != 0) insert_last(plist3, sum, a->expon);
a = a->next;
b = b->next;
}
else if(a->expon > b->expon){ //a차수 > b차수
insert_last(plist3, a->coef, a->expon);
a = a->next;
}
else{ //a차수 < b차수
insert_last(plist3, b->coef, b->expon);
b = b->next;
}
}
//둘 중에 하나 먼저 끝나면 남은 거는 그대로 카피
for(a != NULL; a = a->next)
insert_last(plist3, a->coef, a->expon);
for(b != NULL; b = b->next)
insert_last(plist3, b->coef, b->expon);
}
스택
typedef struct StackNode{
element data;
StackNode *link;
}StackNode;
typedef struct{
StackNode* top;
}LinkedStackType;
//insert_first
void push(LinkedStackType* s, element data){
StackNode* temp = (StackNode*)malloc(sizeof(StackNode));
temp->data = data;
temp->link = s->top;
s->top = temp;
}
//delete_first
element pop(LinkedStackType *s){
if(is_empty(s)) error("스택이 비어있음");
else{
//사라지지 않게 저장
StackNode* temp = s->top;
int data = temp->data;
s->top = s->top->link;
free(temp);
return data;
}
}
큐
포인터가 두 개인 단순 연결 리스트
typedef struct QueueNode{
element data;
QueueNode* link;
}QueueNode;
typedef struct{
QueueNode* front;
QueueNode* rear;
}LinkedQueueType;
//insert_last
void enqueue(LinkedQueueType* q, element data){
QueueNode* temp = (QueueNode*)malloc(sizeof(QueueNode));
temp->data = data;
temp->link = NULL;
if(is_empty(q)){ //큐가 공백이면
q->front = temp;
q->rear = temp;
}
else{
q->rear->link = temp;
q->rear = temp;
}
}
//delete_first
element dequeue(LinkedQueueType *q){
//사라지지 않게 저장
QueueNode *temp = q->front;
element data = temp->data;
if(is_empty(q)) error("스택이 비어있음");
else{
q->front = q->front->link;
if(q->front == NULL) q->rear = NULL; //공백상태
free(temp);
return data;
}
}
원형 단순 연결리스트
마지막 노드의 링크가 첫 번째 노드를 가리키는 리스트
리스트 맨 뒤에도 O(1)에 삽입/삭제 가능
head포인터가 마지막 노드를 가리키게끔 구성
-> head의 링크가 가리키는 것이 첫 번째 노드
ListNode* insert_first(ListNode* head, element data){
ListNode* node = (ListNode*)malloc(sizeof(ListNode));
node->data = data;
if(head == NULL){ //지금 만드는 노드가 첫 노드
head = node;
node->link = head; //자기 자신을 가리킴
}
else{
//순서주의
node->link = head->link; //노드가 head를 가리킴
head->link = node; //노드가 head가 됨
}
return head;
}
ListNode* insert_last(ListNode* head, element data){
ListNode* node = (ListNode*)malloc(sizeof(ListNode));
node->data = data;
if(head == NULL){ //지금 만드는 노드가 첫 노드
head = node;
node->link = head; //자기 자신을 가리킴
}
else{
//순서주의
node->link = head->link;
head->link = node;
//앞에다 삽입하고 head가 날 가리키면 나 다음이 head가 됨
head = node;
}
return head;
}
원형큐
head를 rear로, head->link를 front로 사용
insert_last()로 enqueue(), delete_first()로 dequeue() 구현
이중 연결리스트
하나의 노드가 선행 노드와 후행 노드에 대한 두 개의 링크를 가짐
헤드노드: 데이터를 가지지 않음, 공백상태에서는 헤드 노드만 존재
typedef struct DlistNode{
element data;
DlistNode *llink; //마지막 노드 가리킴
DlistNode *rlink; //첫 번째 노드 가리킴
}DlistNode;
void dinsert(DListNode *before, element data){
DListNode *newnode = (DListNode*)malloc(sizeof(DListNode));
strcpy(newnode->data, data);
newnode->llink = before;
//순서주의
newnode->rlink = before->rlink;
before->rlink = newnode;
newnode->rlink->llink = newnode;
}
void ddelete(DListNode *head, DListNode *removed){
if(removed == head) return; //head는 지우지 않는다
removed->rlink->llink = removed->llink;
removed->llink->rlink = removed->rlink;
free(removed);
}'자료구조' 카테고리의 다른 글
| [자료구조] Heap (0) | 2025.10.28 |
|---|---|
| [자료구조] 트리 (0) | 2025.10.27 |
| [자료구조] 중간고사 대비 (0) | 2025.10.26 |
| [자료구조] 큐 (0) | 2025.09.30 |
| [자료구조] 배열 - 다항식 더하기 (0) | 2025.09.27 |